MI Brand Vinyl Double Hung Windows N156













MI Brand Vinyl Double Hung Windows N156
$0.00
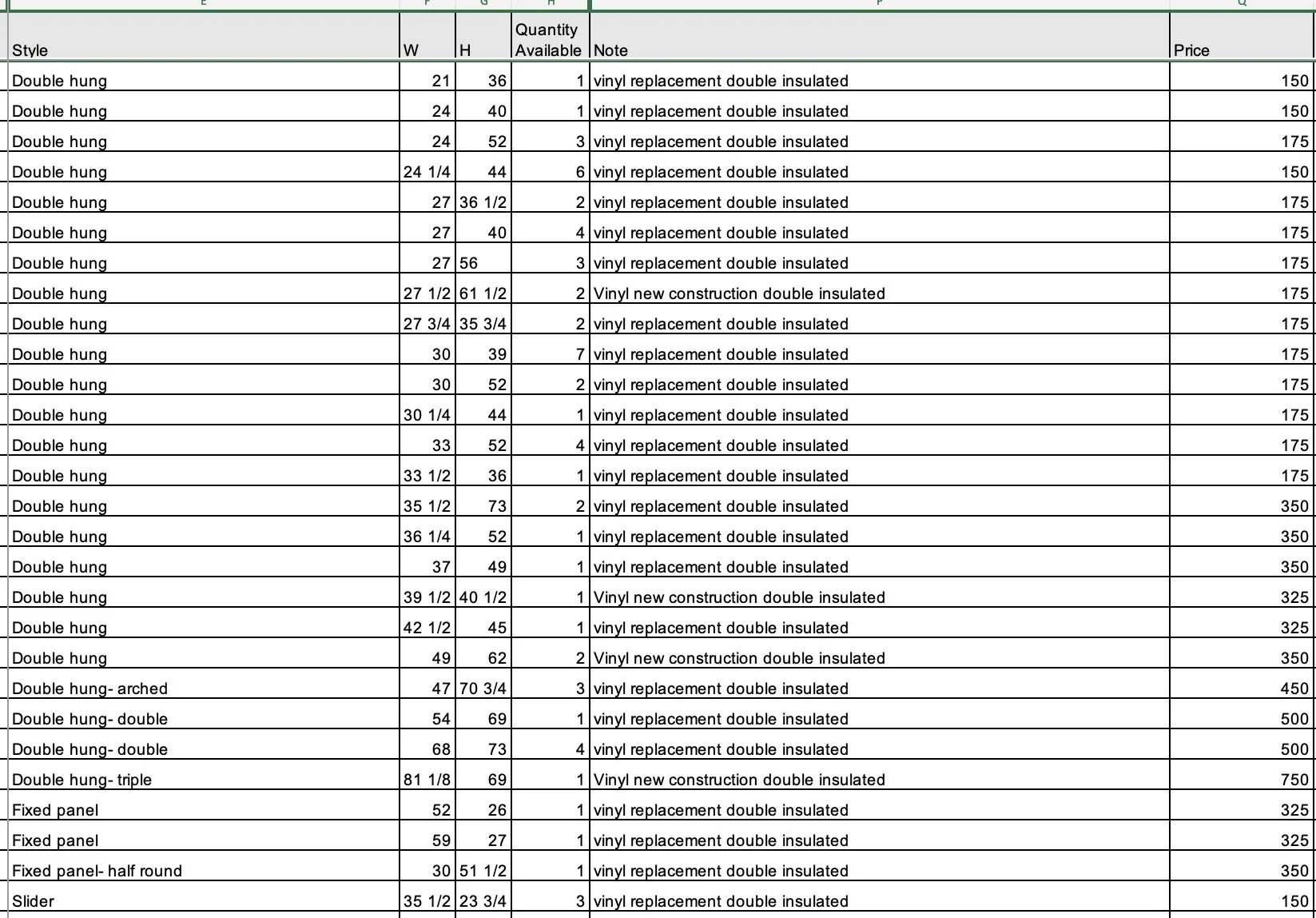
60+ MI brand vinyl windows available. Had been installed for one year and house was torn down to make them available and still have labels on them. Most are double hung with a wide variety of sizes. See last picture for list of sizes, quantities available and pricing. Bulk purchases encouraged.